WCOMD Studio Ver 1.01. Dans le «Formulaire de spécification standard pour
le béton établi en 2012» [Design: Main Edition] 9 L'analyse des éléments
finis à champ proche », l'invariant de la deuxième dérivée de la contrainte
de déviation et l'énergie de déformation cumulative normalisée. WCOMD Studio Ver 1.01.00 a abordé ces questions.
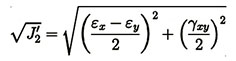
Contrainte de déviation La deuxième invariante est calculée par la formule
suivante.

L'énergie de déformation cumulée normalisée est calculée par la formule
suivante.

Nous calculons ensuite l'indice pour lequel le processus de moyenne pondérée a été effectué par la formule suivante.

Ici εx, εy, γxy ont les composantes de la déformation dans le x- et y-directions,
εij et σij ont le tenseur bidimensionnel et la contrainte et la contrainte
au point de Gauss, f est la quantité correspondant à la contrainte maximale
du béton sous contrainte de compression. Dans une étape de calcul s est
la distance du point gaussien et L est le rayon de la région de moyennage. |