| New Products & Service | 港湾 | ||
●新規価格330,000円(税抜300,000円) ●リリース2022年3月23日 |
|||
|
Ver.3改定内容 防潮堤・護岸の設計計算 Ver.3」で対応した下記の改定内容についてご紹介します。
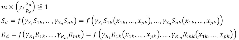
『港湾の施設の技術上の基準・同解説 平成30年5月』対応 港湾の施設の技術上の基準・同解説 平成30年5月』(以下、港湾基準H30)に記載の「荷重抵抗係数アプローチによる部分係数法」に対応しました。この部分係数法の内容をご紹介します。 港湾基準H19では、「材料係数アプローチによる部分係数法」を採用していました。 ここに、 しかし、材料係数アプローチでは、設計における不確実性を、多くの構造物の設計で個々の不確実性要因の積み上げとして説明することがほとんど不可能であるとして、港湾基準H30では、「荷重抵抗係数アプローチによる部分係数法」を採用することになりました。 ここに、 上記の通り、荷重抵抗係数アプローチは材料係数アプローチと比較して、従来から実務者が慣れ親しんできた安全率法、または許容応力度法の照査形式に近くなっております。本製品では、[基準値]メニューに設定画面を用意していますので、照査項目および検討ケースごとに任意の値に変更可能です。(図1) 基礎捨石底面における地盤反力度の直接指定に対応 従来は、「漁港・漁場の施設の設計の手引 2003年度版」を参考に最大地盤反力度を入力値から計算しておりましたが、最大地盤反力度の入力を設け、直接指定できるように機能拡張しました。(図2)これにより、内部計算値だけでなく任意の値で基礎捨石底面における地盤支持力の検討が行えるようになりました。 捨石マウンドの天端位置の入力に対応 従来は、捨石マウンドの天端が堤体の設置高で固定となっておりましたが、捨石マウンドの上面標高の入力を設け、任意位置に設置できるように機能拡張しました。これにより、堤体が捨石マウンドに埋め込まれている形状(図3)で基礎捨石底面における地盤支持力の検討が行えるようになりました。 3Dアノテーション/3Dアトリビュート対応 3Dアノテーション及び3Dアトリビュートに対応しました。これにより、メイン画面の3Dモデル図において、寸法表示・属性情報表示が行えるようになりました。(図4) |
|||
| (Up&Coming '22 春の号掲載) |
|
|

LOADING