| New Products |
|
|
●新規価格
●アップグレード価格 |
470,000円
235,000円 |
●リリース 2016年 1月
UC-1 水工 |
|
|
| 柔構造樋門の設計セミナー |
Webセミナー対応 |
●日時:2016年2月2日(火) 9:30〜16:30
●本会場:東京本社 品川インターシティA棟セミナールーム
※TV会議システムにて 東京・大阪・名古屋・福岡・仙台・札幌・金沢 同時開催
●参加費:1名様 ¥18,000 (税別) |
|
「柔構造樋門の設計」は、2006年10月の初版リリース後、改訂を重ねてまいりました。今回、Ver.9として主に下記に対応しました。
本体横方向の設計
・円形函体(ダクタイル鋳鉄管)、RC巻立函体への対応
・温度荷重、隅角部集中荷重および、ハンチを考慮した曲げ応力度への対応
材料の適用基準に土工指針H21への追加対応
断面照査適用基準(最小鉄筋量、せん断応力度)個別設定への対応
丸鋼(SR235)および、鉄筋量直接入力への対応
本体縦方向の設計
・東北地整H15準拠のカラー継手の照査への対応
・剛支持モデルの相対変位量の照査への対応
・L2主鉄筋配筋図の出力への対応
・柔→剛切り替え時の任意荷重詳細出力への対応
門柱の設計
・管理橋受台の設置位置(オフセット)指定への対応
・ゲートの慣性力の載荷範囲指定への対応
・横方向の応力度算出時の断面力分配詳細出力への対応
胸壁の設計
・つま先版、かかと版ごとにL指定への対応
・地盤反力度の取得方法の改善
・水位以下の見かけの震度算出時の収束回数指定への対応
翼壁の設計(U型翼壁)
・地盤反力度を無視した計算への対応
・浮き上がりの照査出力書式の改善
以下に、これらの追加・拡張機能の概要を紹介いたします。 |
 |
| ▲図1 メイン画面 |
|
|
円形函体(ダクタイル鋳鉄管)について「柔構造樋門 設計の手引き」に準拠した設計計算に対応しています。RC巻立函体は、頂版ハンチを無視し円管の直径を内空幅、高さに置き換えRC矩形函体としてモデル化します。
 |
| ▲図2 本体横方向−基本条件入力画面 |
|
基本条件の初期値画面と各構造物の材料入力画面の適用基準に土工指針H21を追加しています。また、鉄筋の材質に丸鋼(SR235)を追加し、鉄筋の入力時にも反映します。
 |
| ▲図3 材料−適用基準スイッチ |
| |
 |
| ▲図4 材料−鉄筋材質スイッチ |
|
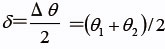
東北地整に準拠したカラー継手の以下の照査に対応しました。
函渠縦方向の計算で求まる両函渠の継手位置での撓み角をそれぞれθ1、θ2とした場合、折れ角はΔθ=θ1+θ2で求まり、函渠軸のカラー継手面となす角度(δ)は両函渠部分では等しくなる。
(式7-19)
カラー継手と函渠との相互の変形係数は
式7-20で求めることができる。
(式7-20)
ここに、
C :函渠の上または下のカラー継手との最大開き寸法 (C=D-H)
D :カラーの内法高
T :函渠相互の最大開き寸法
Wc:カラーの長さ(1.0m)
H :函渠の高さ
δ :式7-19で求まる角度
|
|
| ▲図5 東北地整のカラー継手の計算式 |
|
| 以上、「柔構造樋門の設計 Ver.9」の追加・拡張機能の概要をご紹介いたしました。今後もユーザ様からのご要望にお応えして、改良・改善に努めてまいります。どうぞご期待ください。 |
| (Up&Coming '16 新年号掲載) |
 |
|







>> 製品総合カタログ

>> プレミアム会員サービス
>> ファイナンシャルサポート
|