Civil Engineer's Forum-FORUM8
このページをスタートページに設定する QR

Facebook - FORUM8

Twitter - FORUM8

instagram - FORUM8

YouTube - FORUM8

 サイトマップ | ご利用条件 | お問い合わせ | 英語翻訳サイト | Japanese | English | Korean | CHS/CHT | Vietnam | Francais
New Products & Service 道路土工 

アーチカルバートの設計計算 Ver.2

アーチカルバートの断面方向、縦方向の設計を支援するプログラム

●新規価格 143,000円

●リリース 2020年1月20日

Ver.2の改訂内容

Ver.2では、次の機能追加を行いました。

  • 多層地盤への対応
  • 応答変位法による地震時検討対応(断面方向)

以下に、この機能の概要を紹介します。

多層地盤への対応

盛土は単層で構成されているケースのみを対象としておりましたが、複数層で構成されるケースに対応いたしました。鉛直土圧および水平土圧の算出において多層地盤を考慮して検討を行います。Ver.1では、複数層のケースを検討する場合は、任意死荷重により実際の土圧強度との差分を入力していただき、複数層の場合と等価な荷重状態を作成していただく必要がありました。多層地盤への対応により、層ごとに層厚および土の単位重量(湿潤、飽和)を入力していただくことで内部計算により土圧を算出することが可能となり、任意死荷重での設定が不要となります。


画像をクリックすると大きな画像が表示されます。

図1 地盤入力画面

応答変位法による地震時検討(断面方向)

従来は常時のみの検討としておりましたが、断面方向の地震時の検討に対応いたしました。

地震時の検討は、「下水道施設の耐震対策指針と解説−2014年版−社団法人日本下水道協会」および「下水道施設耐震計算例−管路施設編 前編−2015年版 (社)日本下水道協会」を参照し、応答変位法により地震荷重を算出します。地震時の荷重としては、水平変位振幅荷重、周面せん断力、躯体慣性力を考慮します。これらの荷重とは別に別途算出された荷重を任意地震荷重(レベル1、レベル2)として設定することも可能としています。なお、設定可能な地震荷重は鉛直方向、水平方向の荷重のみとなります。

これらの地震時の荷重と常時の荷重(自重、土圧)を組み合わせフレーム計算により地震時の断面力を算出します。算出した断面力を用いて、レベル1地震時は許容応力度法、レベル2地震時は限界状態設計法による照査を行います。

図2 地震荷重

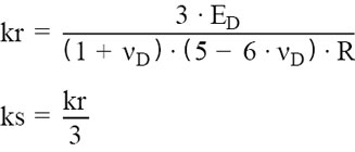
アーチカルバートは上部がアーチ形状、下部が矩形となっており、アーチ部については円形の「差し込み継ぎ手管きょの耐震設計」、下部は「矩形きょの耐震設計」を参照しています。円形(アーチ部)と矩形(脚部)では「地盤反力係数」および荷重(水平変位振幅荷重、周面せん断力)の載荷方法に相違があります。その中から例として「地盤反力係数」について相違を示します。


アーチ部

脚部


kr:部材鉛直方向の地盤反力係数(kN/m3)

R:アーチ部の図心半径(m)

ks:部材軸方向の地盤反力係数(kN/m3)

ED:表層地盤の動的変形係数(kN/m2)

νD:表層地盤の動的ポアソン比


kH:水平方向地盤ばね定数 (kN/m3)

kV:鉛直方向地盤ばね定数 (kN/m3)

kSS:水平方向せん断ばね定数 (kN/m3)

kSB:鉛直方向せん断ばね定数 (kN/m3)

ED:表層地盤の動的変形係数(kN/m2)

νD:表層地盤の動的ポアソン比

Hw:部材高さ(m) (脚部高さ)

Bw:部材幅(m)

図3 地盤ばね

(Up&Coming '20 新年号掲載)
戻る
Up&Coming

FORUM8


お問合せ窓口




[ ユーザー紹介 ]
岐阜県恵那市
北方工業大学 都市道路交通知能制御技術北京市重点実験室 交通行動・安全研究室
安部 尚樹 氏
[ イベントレポート ]
Smart City Expo World Congress 2025
デザインフェスティバル2025レポート






>> 製品総合カタログ


>> プレミアム会員サービス
>> ファイナンシャルサポート

最近リリースした製品
UC-1 Cloud 擁壁の設計・3D配筋 Complete
DesignBuilder Ver.2025.1
防潮堤・護岸の設計計算 Ver.4
マンホールの設計・3D配筋 Ver.12
橋梁点検支援システム Ver.4
Shade3D SDK Ver.4
ファイル転送サービス Ver.3
下水道管の耐震計算 Ver.4
BOXカルバートの設計・3D配筋(下水道耐震) Ver.15
FEMLEEG® Ver.15
橋台の設計・3D 配筋(部分係数法・H29道示対応) Ver.9
柔構造樋門の設計・3D配筋 Ver.18

キャンペーン実施中
新製品特別価格キャンペーン
松任谷由実 THE WORMHOLE TOUR 2025-26ペアご招待キャンペーン
ドローンスクール割引キャンペーン
Shade3D・F8VPS 20%OFFキャンペーン

セミナー・イベントカレンダー
開催間近のセミナー
1/5  ジュニア・プログラミング
1/6  ジュニア・ソフトウェア
1/8  基礎の設計・3D配筋
  (部分係数法・H29道示
  対応)
1/14  LibreOffice体験

ソフトウェア/支援サービス
VRソフト(バーチャルリアリティ)
《UC-winシリーズ》
・道路・シミュレータ
・ドライブ・シミュレータ
・マイクロ・シミュレーション
・避難解析・シミュレーション
>>その他VRソフト
FEM解析ソフト
・3次元プレート動的非線形解析
・2次元動的非線形解析
・総合有限要素法解析システム
>>その他FEM解析ソフト
土木・建築・設計ソフト
《UC-1シリーズ》
・構造解析/断面
・橋梁上部工
・橋梁下部工
・基礎工
・仮設工
・道路土工
・港湾
・水工
・地盤解析
・CAD/CIM、建設会計
・維持管理・地震リスク
・建築
・船舶/避難
>>その他土木・建築・設計ソフト
クラウド
《スパコンクラウド®》
・スパコンクラウドサービス
《VR-Cloud®》
・リアルタイムVRシステム
解析支援サービス/サポート
・UC-win/Roadサポートシステム
・設計成果チェック支援サービス
・Engineer's Studio®解析支援
・地盤解析支援サービス
・EXODUS/SMARTFIRE解析支援
・xpswmm解析支援サービス
・建物エネルギーシミュレーション
・3Dレーザスキャン・モデリング
・3D模型サービス
・3D報告書・図面サービス
>>その他支援サービス
各種ソリューション
・耐震診断/解析
・鋼橋設計
・橋梁新工法
・建築設計
・自治体
・医療系VRシステム
・パーキングソリューション
・ECOソリューション
>>その他ソリューション