「BOXカルバートの設計(下水道耐震)Ver.6」では、下記の対応を行います。
- 開きょ(頂版のない矩形きょ)への対応
- インバート形への対応
- 任意活荷重(縦断方向進行)への対応
- 液状化による浮上りに対する検討
- せん断照査方法の追加 (道路土工の方法)
以下に、これらの拡張機能の概要を紹介いたします。
|
本プログラムの主な参考元である「下水道施設の耐震対策指針と解説−2006年版−(社)日本下水道協会」では、「第3章管路施設の耐震設計」の「第3節矩形きょの耐震設計」に「開きょは、頂版部材がない矩形きょと見なして耐震設計を行う。」とのみ記述されております。
これをふまえ、現在の矩形きょに対する検討方法をベースに、頂版部材をなしとしてモデル化して検討を行います(図1)。
 |
|
 |
| ■図1 開きょ |
|
■図2 本体形状入力画面(開きょ) |
なお、土被りについては頂版上は存在しないものとし、地表面は水平で側壁外側に存在するものとします。
また、活荷重について、頂版上は土被りがないことより、鉛直方向の作用はないものとし、水平方向に作用するもののみ考慮します。
次表に今回の開きょ対応に対する適用範囲を示します。
| 項目 |
内容 |
| 適用基準 |
下水道施設 |
| 基礎形式 |
直接基礎 |
| BOX形式 |
単BOX |
| 活荷重 |
鉛直方向:作用しない / 水平方向:作用する |
| 縦方向照査 |
プレキャスト(縦連結) |
|
|
 |
| ■表1 開きょの適用範囲 |
|
■図3 土被り入力画面(開きょ) |
 |
|
 |
| ■図4 FRAME解析結果画面 |
|
■図5 曲げモーメント図 |
|
底版内側が逆アーチ型をしたインバート形状に対応します。
底版自重は下図のようにインバート部(内空部)を10分割して算出します。
|
|
 |
| ■図6 インバート形 |
|
■図7 底版自重の考え方 |
インバート形の底版隅角部の曲げ照査では、インバートの円弧により底版が厚くなった部分を45°の仮想ハンチと考え、ハンチの影響が1:nの部分を有効とするとき、下図の塗りつぶし部分を有効な断面として考慮します。
一方、せん断照査では、照査位置での円弧を考慮した実際の部材高を用いて照査します。底版の照査位置について、H/2点のHは円弧により厚くなった部分の高さとします。2d点は、円弧による厚さを含めない部材厚から被りを引いたものをdとして2d点を決定しますが、照査に用いる有効高dは円弧を考慮した実際の部材高から被りを引いたものを用います。
 |
|
 |
| ■図8 曲げ照査での底部の有効断面 |
|
■図9 インバート部のせん断照査位置 |
 |
|
 |
| ■図10 本体形状入力画面(インバート形) |
|
■図11 インバート形のラーメン軸線 |
|
これまで、カルバートの横方向(断面方向)に進行する活荷重を対象とした任意活荷重の入力を用意しておりましたが、新たにカルバート縦断方向に進行する活荷重を対象とした任意活荷重(縦断方向)の入力に対応します。
なお、本荷重は断面方向(横方向)の検討にのみ用います。
任意活荷重(縦断方向)は、次のようにして算出します。
縦断方向に分布角度θで分布する場合の頂版天端位置での荷重強度と分布幅を算出し、あらかじめ指定された荷重強度算定用縦方向単位長の範囲内に最大の荷重が載荷するように縦方向分布幅Lを決め、活荷重強度を算出します。
縦方向の輪荷重は単軸または2軸の指定が行えます。
横方向に並ぶ車両については、1ケース当り1台〜5台まで載荷位置を指定した設定が可能となっております。
また、台数無制限として路面上に全載することも可能です。
 |
|
 |
| ■図12 任意活荷重(縦断方向)入力画面 |
|
■図13 任意活荷重(縦断方向)の載荷方法 |
|
「下水道施設耐震計算例−管路施設編後編−2001年版(社)日本下水道協会」の「8.現場打ちボックスカルバート(開削用,直接基礎)」に記載されている「共同溝設計指針(S.61.3)(社)日本道路協会」に準じた液状化時の浮上りに対する検討に対応します。
上載土の荷重Ws、本体の自重WB、上載土のせん断抵抗Qs、本体側面の摩擦抵抗QB、本体底面に作用する静水圧による揚圧力US、本体底面に作用する過剰間げき水圧による揚圧力UDを考慮しますが、各水位ケース数分、各層の液状化に対する抵抗率FLを入力し、検討時にFLが1.0以下の層におけるQs、QBは考慮しないものとして検討します。
■浮上りに対する検討式

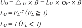
また、底面に作用する過剰間げき水圧による揚圧力UDは以下の式で算出します。
■過剰間げき水圧による揚圧力UD算出式

|
せん断応力度の照査方法について、旧道路土工カルバート工指針(H.11.3)では、隅角部格点と2d点の2点を対象とし、また、隅角部格点の許容応力度を2d点の2倍に割り増す方法で行っており、本プログラムも同方法としていましたが、新道路土工カルバート工指針(H.22.3)では、せん断照査方法が道路橋示方書・同解説IV下部構造編の方法に変更されました。これをふまえ、照査位置をH/2点とし、許容応力度は、有効高dや軸方向引張鉄筋比Pt、軸方向圧縮力による補正係数CNの影響を考慮した値とする道IVによる方法(新道路土工カルバート工指針の方法)に対応します。なお、本方法はRC部材が対象となります。
■旧カルバート工指針による方法

■新カルバート工指針による方法

以上、拡張機能の概略を紹介させていただきました。
今後もみなさなからのご要望を取り入れて、改良・改善を加えていきますので、どうぞご期待ください。 |
|







>> 製品総合カタログ

>> プレミアム会員サービス
>> ファイナンシャルサポート
|