| New Products |
|
|
●最新版製品価格 |
●リリース 2012年5月23日
UC-1構造解析/断面 |
|
|
|
| 「RC断面計算 Ver.5」では、このたび最新版の道路橋示方書に準拠した許容応力度法への対応などを行いリリースしました。以下に改訂内容の概要をご紹介いたします。 |
今回は道路橋示方書・同解説(平成24年3月)に準拠した計算をサポートしました。主な修正点は以下のとおりです。
- 鉄筋材質の追加(SD390,SD490)
鉄筋材質の種類にSD390、SD490を追加しました。
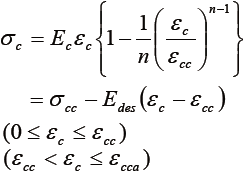
- コンクリートの応力度−ひずみ曲線及び限界圧縮ひずみの追加
コンクリートの応力度σcは、以下の式により求めます。

コンクリートの限界圧縮ひずみεccaは以下の式により求めます。

- 鉄筋の応力度−ひずみ曲線及び許容ひずみの追加
耐震性能2の軸方向鉄筋の許容引張ひずみεst2は以下の式により求めます。

耐震性能3の軸方向鉄筋の許容引張ひずみεst3は以下の式により求めます。

- 塑性ヒンジ長Lpの算出(矩形、円形、縦長小判型、横長小判型のみ)
塑性ヒンジ長Lpは以下の式により求めます。

- 耐震性能2、耐震性能3の限界状態に達するときの限界モーメント、曲率の算出
各抵抗曲げモーメントの算出点は図1の各点となります。
 ■図1 抵抗曲げモーメントの算出点
 |
|
 |
| ■図2 M-φ関係入力画面 |
|
■図3 M-φ曲線結果画面 |
|
| 鉄道構造物等設計標準・同解説(平成16年4月)の復旧性の照査・曲げの照査の追加 |
| 設計標準H16の復旧性照査において、構造物係数γi、復旧性能照査 曲げの部材係数の入力欄を追加しました。また、コンクリートの材料係数γc、鉄筋鋼材の材料係数γsは終局限界状態の材料係数と同じ値を使用しています。 |
以上、道路橋示方書の改訂に対応した新バージョンの概要をご紹介いたしました。
設計標準H16の復旧性の照査・曲げの追加などのご要望についても対応しています。
今後も皆様からのご要望を取り入れて改良、改善に努めてまいります。どうぞご期待ください。 |
|







>> 製品総合カタログ

>> プレミアム会員サービス
>> ファイナンシャルサポート
|