Civil Engineer's Forum-FORUM8
このページをスタートページに設定する QR

Facebook - FORUM8

Twitter - FORUM8

instagram - FORUM8

YouTube - FORUM8

 サイトマップ | ご利用条件 | お問い合わせ | 英語翻訳サイト | Japanese | English | Korean | CHS/CHT | Vietnam | Francais

5
新版・地盤
FEM解析入門
本講座は、地盤FEM解析の理論背景を理解すること、その上で、地盤FEM解析ソフトウェアを正しく使いこなすことを目的に、理論と事例を交えながら説明を行い、実務に応用できる実践的な講座を目指しています。今回は、「地盤材料の構成則」について解説します。
 はじめに

地盤FEM解析エンジニアリングのための入門講座の5回目です。

今回は、第4章「地盤材料の構成則」について説明します。現在、当社の弾塑性地盤解析GeoFEASでは下記の構成則を取り扱っています。

表1 GeoFEASで扱っている主な地盤構成則

モデル種類 構成モデル
弾性モデル ・線形弾性モデル ・積層弾性モデル  ・せん断係数低減材料1 ・せん断係数低減材料2
非線形弾性モデル ・Duncan方式1 ・Duncan方式2 ・破壊接近度法
非線形モデル ・Hardin-Drnevichモデル  ・Ramberg-Osgoodモデル ・鵜飼・若井モデル(UW-Clay)
弾・完全塑性モデル ・Morh-Coulomb方式 ・Drucker-Prager方式 ・Morh-Coulomb/Drucker-Prager方式
弾塑性モデル ・Pastor-Zienkiewicz砂モデル ・Pastor-Zienkiewicz粘土モデル
No-Tensionモデル ・線形弾性モデル ・積層弾性モデル
バイリニア弾性 ・液状化材料


 構成則とは

構成則とは、連続体である物質の力学的性質を数学的に記述したもので、連続体の基礎式の一つである。現在、すべての土の力学的性質を表現できる構成則はないことから、問題の性質により多数の構成則の中から適切な構成則を選択しなければならない。

 線形弾性構成則

1)線形等方性弾性モデル
弾性体は多くの場合フックの法則に従う。線形等方弾性材料の特性はヤング率E とポアソン比 νで表現される。応力−ひずみ関係式は次のようになる。

(1)

平面ひずみ問題においては

(2)
(3)
(4)
(5)

応力とひずみの変化が非常に小さい場合には、地盤解析においてもヤング率 E とポアソン比 νを適切に設定すれば、線形弾性解析でも十分な精度を持つ解が得られる。

2)線形積層弾性モデル
積層弾性モデルは、材料変形特性の直交異方性を表現する弾性モデルである。積層弾性モデルでは、図1に示すように、水平面内(h)では等方であるが、鉛直面内(v)では異方性を持つ。

図01 積層材料(直交異方性を有する材料)の構造

平面ひずみ問題においては
(6)
(7)
(8)
(9)

互層岩盤のような積層材料を等価な均質線形積層弾性体にモデル化する場合、各層の弾性係数と層厚から、積層弾性モデルのパラメータを求めることができる。


 非線形弾性構成則

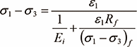
1)Duncan−Changモデル
Duncan−Changモデルは、図2に示すように、応力−ひずみ関係を式(10)で定義される双曲線と仮定し、拘束圧が初期剛性に及ぼす影響を式(11)により考慮するモデルである。

(10)
(11)

図02 Duncan-Changモデル(左)応力−ひずみ関係、(右)変換した応力−ひずみ関係

Duncan-Changモデルでは、ポアソン比を定数とすると、計算結果は実際の現象と異なることがわかる。このようなDuncan−Changモデルの欠点を克服するために、ポアソン比を定数とすることの代わりに、体積係数を式(12)で定義することが提案された。

(12)

ここに、Kb は体積係数を定義する定数、mは体積係数の拘束圧依存性を表す定数である。
日本では、フィルダム築堤解析に、本構成則によりフィル材料の非線形特性を考慮することになっている。

2)破壊接近度法(電中研方式)
破壊接近度法では、変形係数 D 、ポアソン比 v の非線形特性は、Mohrの応力円と破壊基準から破壊接近度(破壊余裕度)R' を定義して、R' を指標として設定される。

図03 破壊基準と破壊余裕度

破壊接近度法では、せん断強度は、式(13)で表される。

(13)

地山の安定性は、地山の各要素の応力状態と破壊基準との関係から求められる破壊接近度(破壊余裕度)R' 、局所安全係数 FL 、それらに基づいて設定される緩み領域の広がり等から検討される。
局所安全係数は式(14)により定義される。

(14)


 弾完全塑性構成則

土には荷重を除去したあとも非回復的なひずみが存在する。このようなひずみは塑性ひずみと呼ばれる。図4に示すような応力−ひずみ関係を考えてみよう。載荷時の非線形関係は、非線形弾性か塑性挙動かを決定することができないが、除荷時には、弾性材料は載荷時と同様な経路を戻り、塑性材料は別の経路をたどるため、非線形弾性か塑性挙動かを直ちに区別することができる。また、図5に示すように、ひずみが、除荷すると元に戻る弾性ひずみと、除荷しても回復できない塑性ひずみの和で表されると仮定する。ひずみ増分についても、同様な仮定をする。すなわち、ひずみ増分が、弾性ひずみ増分と塑性ひずみ増分の和で表される。

(15)

多くの材料には降伏応力が存在する。応力が降伏応力より低い場合には、応力−ひずみ関係は線形あるいは非線形弾性である。降伏後は、図5に示すように、完全塑性、硬化、および軟化的な挙動を有することが考えられる。

図04 荷および除荷時の非線形弾性
 および塑性応力−ひずみ関係
図05 完全塑性、硬化、および軟化塑性

多くの実験結果に示されるように、降伏は応力がある降伏条件を満足したとき起こる。この降伏条件を表す式(16)は降伏関数と呼ばれる。

(16)

こに、κは硬化パラメータである。
地盤解析で代表的な降伏関数は、次のように与えられる。

(17)

ここに、cu は非排水せん断強度である。図6にTresca式を示す。また、Tresca式は、図7に示すように、π 平面の上で等六角形である。

図06 Tresca式 図07 π平面上でのTresca式とMises式

● Mises式

(18)

図8にMises式を示す。Mises式はTresca式と等しいと仮定すれば、次の関係式が得られる。

(19)

図7に実線で示される円においては、であり、破線で示される円においては、α =cu である。

図08 Mises式

● Mohr-Coulomb式

(20)

ここに、c は粘着力、φは内部摩擦角である。図9に示すように、Mohr-Coulomb式は主応力空間内で6角錐となる。図10に π 平面上でのMohr-Coulomb式を示す。

図09 Mohr-Coulomb式 図10 π平面上でのMohr-Coulomb式
およびDrucker-Prager式

● Drucker-Prager式

(21)

ここに、α と κ はパラメータである。図11に示すように、Drucker-Prager式は主応力空間内で直線を中心軸とする円錐である。α および κ は、特定の条件を与えれば、Mohr-Coulomb式を定義する c およびφで表される。


図11 Drucker-Prager式


 弾塑性構成則

ここでは、Zienkiewiczの研究グループが開発した一般化塑性モデルを例として説明する。砂の構成則であるPastor-Zienkiewiczモデル(PZ-Sandモデル)では、式(22)〜(30)で表される量を定義する。

(22)
(23)
(24)
(25)
(26)
(27)
(28)
(29)
(30)

ここに、p は平均主応力、σkk は軸方向応力、q は偏差応力、J2 は偏差応力の第2不変量、J3 は偏差応力の第3不変量、sij は偏差応力テンソル、σij は応力テンソル、δij はクロネッガーの符号、v は体積ひずみ増分、kk は軸方向ひずみ増分、3 はせん断ひずみ増分、ij は偏差ひずみ増分テンソル、deij はひずみ増分テンソルである。ちなみに、PZ-Sandモデルのパラメータは、GeoFEAS、UWLCに同梱されている「要素試験シミュレーション」を用いて同定することができる。


 弾塑性構成則と非線形弾性構成の比較

弾性や非線形弾性など簡単な構成則は、土の実際の挙動を完璧にシミュレートすることができないが、次のような実際の設計などによくある問題に対しては適切であると思われる。
  1. 全体の安全率が十分高く、塑性変形が顕著でない。
  2. 局所的な破壊が生じたところは、正確な結果が必要であるところと離れ、結果に与える影響 が小さい。
  3. 解析は排水もしくは非排水条件で行い、全応力の変化による間隙水圧の変化を考慮しない。

これらの条件はダムや掘削などの多くの解析では満たされている。このような場合には、複雑な弾塑性構成則より使用しやすい簡単な構成則が好ましい。しかし、1.破壊付近や破壊後のひずみや変位を比較的精度よく評価したい場合、2.非排水条件や部分的に排水条件下の外力による間隙水圧の変化を精度よく評価したい場合には、弾塑性構成則が必要となる。


 今後の講座

今回は、地盤材料の構成則について解説しました。しかしながら、紙面の関係でその全てを紹介することはできませんし、より理解を深めたい場合は、当社で開催している有償セミナーなどもご活用願いたいと思います。次回は構成則の必要な「材料パラメータの決め方」について紹介致します。ご期待下さい。


 出版書籍

フォーラムエイトパブリッシングの書籍シリーズ
『新版 地盤FEM 解析入門』のご案内


平成25年9月19日、FORUM8デザインフェスティバル2013-3Days 2日目に、「新版・地盤FEM解析入門」(定価\3,800(税別))を発刊、出版披露を行いました。本書制作にあたっては、群馬大学 蔡飛助教、鵜飼教授、そして、ブルジオテクノ 花田様に心より感謝申し上げます。
本書は、地盤FEM解析の基礎理論、モデリング技術を整理し、多様な解析実例について、FEM解析による問題解決のプロセスと結果をわかりやすく解説した地盤技術者必携の一冊となるものと考えております。

■監修:鵜飼 鶏三(全日本地すべり学会会長,群馬大学教授)
■著者:蔡 飛(群馬大学助教)

■2013年9月19日刊行
■4色/245ページ
■\3,800(税別)
■フォーラムエイト パブリッシング刊
※書籍のご購入は、フォーラムエイト公式サイトまたはAmazon.co.jpで!

 『新版・地盤 FEM解析入門』目次構成  
第1章 地盤工学におけるFEM 解析
地盤FEM解析の必要性・体系、解析種類、数値解析の誤差
第2章 地盤FEM 解析の基礎理論
力学の基礎、平面ひずみ問題と軸対称問題、有限要素法の基礎
第3章 地盤FEM 解析のためのモデリング技術
解析目的、手法、条件、トンネル掘削解析における応力解放率
第4章 地盤材料の構成則
応力不変量、線形弾性構成則、非線形弾性構成則 、弾完全塑性モデル、段塑性構成則
第5章 材料パラメータの決め方
等方線形弾性構成則、弾完全塑性モデル、破壊接近度法のパラメータの同定方法
第6章 地盤と構造物の相互作用
構造物のモデル化、インターフェイスのモデル化
第7章 非線形解析
増分法、Newton-Raphson法、繰返し計算における収束条件
第8章 せん断強度低減法による安定解析
せん断強度低減有限要素法の紹介と応用例
第9章 液状化に伴う自重による変形解析
解析手法、パラメータ、解析事例、柔構造樋門の設計との連動機能
第10章 解析事例
盛土の斜面安定、 擁壁杭基礎の盛土載荷問題、トンネル拡幅工事、推進工法による地盤への影響解析
第11章 GeoFEAS の操作方法
トンネル掘削に伴う近接杭基礎への影響解析、せん断強度低減法による斜面の安定解析
第12章 地中熱解析について
地中熱について、地中熱解析とは


前ページ インデックス 次ページ
(Up&Coming '14 春の号掲載)
戻る
Up&Coming

FORUM8


お問合せ窓口




[ ユーザー紹介 ]
岐阜県恵那市
北方工業大学 都市道路交通知能制御技術北京市重点実験室 交通行動・安全研究室
安部 尚樹 氏
[ イベントレポート ]
Smart City Expo World Congress 2025
デザインフェスティバル2025レポート






>> 製品総合カタログ


>> プレミアム会員サービス
>> ファイナンシャルサポート

最近リリースした製品
DesignBuilder Ver.2025.1
防潮堤・護岸の設計計算 Ver.4
マンホールの設計・3D配筋 Ver.12
橋梁点検支援システム Ver.4
Shade3D SDK Ver.4
ファイル転送サービス Ver.3
下水道管の耐震計算 Ver.4
BOXカルバートの設計・3D配筋(下水道耐震) Ver.15
FEMLEEG® Ver.15
橋台の設計・3D 配筋(部分係数法・H29道示対応) Ver.9
柔構造樋門の設計・3D配筋 Ver.18

キャンペーン実施中
新製品特別価格キャンペーン
松任谷由実 THE WORMHOLE TOUR 2025-26ペアご招待キャンペーン
ドローンスクール割引キャンペーン
Shade3D・F8VPS 20%OFFキャンペーン

セミナー・イベントカレンダー
開催間近のセミナー
1/5  ジュニア・プログラミング
1/6  ジュニア・ソフトウェア
1/8  基礎の設計・3D配筋
  (部分係数法・H29道示
  対応)
1/14  LibreOffice体験

ソフトウェア/支援サービス
VRソフト(バーチャルリアリティ)
《UC-winシリーズ》
・道路・シミュレータ
・ドライブ・シミュレータ
・マイクロ・シミュレーション
・避難解析・シミュレーション
>>その他VRソフト
FEM解析ソフト
・3次元プレート動的非線形解析
・2次元動的非線形解析
・総合有限要素法解析システム
>>その他FEM解析ソフト
土木・建築・設計ソフト
《UC-1シリーズ》
・構造解析/断面
・橋梁上部工
・橋梁下部工
・基礎工
・仮設工
・道路土工
・港湾
・水工
・地盤解析
・CAD/CIM、建設会計
・維持管理・地震リスク
・建築
・船舶/避難
>>その他土木・建築・設計ソフト
クラウド
《スパコンクラウド®》
・スパコンクラウドサービス
《VR-Cloud®》
・リアルタイムVRシステム
解析支援サービス/サポート
・UC-win/Roadサポートシステム
・設計成果チェック支援サービス
・Engineer's Studio®解析支援
・地盤解析支援サービス
・EXODUS/SMARTFIRE解析支援
・xpswmm解析支援サービス
・建物エネルギーシミュレーション
・3Dレーザスキャン・モデリング
・3D模型サービス
・3D報告書・図面サービス
>>その他支援サービス
各種ソリューション
・耐震診断/解析
・鋼橋設計
・橋梁新工法
・建築設計
・自治体
・医療系VRシステム
・パーキングソリューション
・ECOソリューション
>>その他ソリューション