|
地盤FEM解析エンジニアリングのための入門講座の9回目です。今回は、第8章「せん断強度低減法による安定解析」について説明します。せん断強度低減法による安定解析の有効性、また、理論についてご理解頂きたいと思います。
従来、斜面安定は分割法に代表される極限平衡法を用いて評価されてきたが、分割法には以下の2つの短所がある。
- 想定する破壊面(または仮想破壊面)上の不静定な応力分布を決めるため、土塊を多くのスライスに分け、各スライスについて静定化条件を仮定しなければならない。
- すべり面が生じない場合、最小安全率を示すすべり面を円中心位置、半径を仮定して探索する必要がある。
本章では、分割法がこの2つの短所を同時に克服するための有効な手法である「せん断強度低減有限要素法(SSR-FEM)」について説明する。
SSR-FEMによる斜面安定解析がしばしば行われてきた。SSR-FEMでは、せん断強度定数 c および tanφ を低減係数 F で割った見かけの粘着力 cF および見かけの内部摩擦角 φF が次のように表される。
 |
|
(1) |
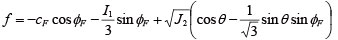
SSR-FEMでは、一般に弾完全塑性モデルを用いて応力を計算する。弾完全塑性モデルでは、見かけの粘着力 cF および見かけの内部摩擦角φF を用いて定義されるモール・クーロン式を利用して、土の破壊基準 f を次のように表す。
 |
|
(2) |
ここで、I1は応力の第1不変量、J2、J3は偏差応力の第2、第3不変量、θ はLode角である。
また、塑性ポテンシャルはDrucker-Prager式より定義する。
 |
|
(3) |
ここで、
 |
|
(4) |
ψ は土のダイレイタンシー角である。斜面崩壊が発生すると、すべり面上では膨張も収縮も起こらない状態に近づくと考えられるので、ψ = 0と仮定したほうが現実により近いと思われる。一方、極限平衡法とSSR-FEMによる全体安全率を比較する場合には、関連流れ則(ψ = φF)を仮定したほうがよいことがわかっている。
弾塑性計算で必要な弾性マトリックスはヤング係数とポアソン比を用いて定義する。これらの係数が破壊前の変形に与える影響は大きいが、全体安全率に及ぼす影響は非常に小さい。したがって、土の特性に関わらず、一律にヤング係数を2×105kPa、ポアソン比を0.3とすることができる。
従来のSSR-FEMでは、見かけの粘着力 cF および見かけの内部摩擦角 φF を用いて、所定の最大繰返し回数内で、斜面は土の自重などを外力として弾塑性解析が収束できるか否かをチェックし、計算が収束できる最大の低減係数 F を斜面の全体安全率と定義した。従来のSSR-FEMをより高精度かつ高速に全体安全率を計算するために、蔡らは新しい計算アルゴリズムを提案した。
その概要を説明すると次のようである。まず、最初の係数 F を小さな値に設定すると、 cF および φF が十分大きくなるので、斜面はいたるところで弾性応力状態となる。次に F を ΔF ずつ段階的に増加させていくと、ある F の値をとるとき、図1に示すように、斜面内のある位置(例えば点A)で破壊が生じはじめ、見かけの cF および φF で定義するモール・クーロンの破壊基準(直線2)を満たすようになる。
■図1 せん断強度低減有限要素法(SSR-FEM)
F をさらに増加させると、点Aでの実線のモール円は破壊基準(直線3)と交差するようになる。このような応力状態は存在し得ないので、図1の破線の円で示すようにモール円が破壊基準に接するような応力状態でなければならない。ステップ n における計算が収束した時点では、斜面が力のつり合い状態にあるため、残差力ベクトルはゼロである。
 |
|
(5) |
ここで、Fintは内力ベクトル、Fext外力ベクトルである。内力ベクトルは次のように求められる。
 |
|
(6) |
ここで、 は全要素数 ne の数だけ重ね合わせることを意味する。B は変位をひずみに変換するマトリックスである。 ステップ n において、計算が収束する時点での応力 σn は次のように与えられる。
ステップ n において、計算が収束する時点での応力 σn は次のように与えられる。
 |
|
(7) |
ここで、σn-1 はステップ n-1 での計算が収束する時点での応力である。 はステップ n での低減係数Fnに対応する見かけの粘着力 cF および内部摩擦角 φF を用いて計算した弾塑性マトリックスである。Δεnはステップ n でのひずみ増分である。
ステップ n において計算が収束すると、ステップ n +1の計算が始まる。まず前ステップ n でのひずみ増分Δεnおよび低減係数 Fn+1 に対応する見かけの粘着力cF および内部摩擦角 φF により計算した弾塑性マトリックスである を用いて、ステップ n +1において、繰り返し回数が0であるときの応力を次式で計算する。
 |
|
(8) |
ステップ n およびステップ n +1での弾塑性マトリックスが違うため、 応力 とσn は異なる。従って を用いて内力ベクトルを計算する と、残差力ベクトルはゼロではない。
 |
|
(9) |
式(9)で計算した残差力は破壊していない要素に再配分しなければ ならない。繰返し計算による残差力の再配分は残差力が許容誤差より 小さくなるまで続く。この残差力の再配分により破壊が生じている要素が多くなる。
こうして F を徐々に増加させていくと,残差力の再配分に要する繰返し計算の回数も増えていく。ある段階で残差力の再配分に要する繰返し計算の回数が上限値(例えば500回)を超えても,残差力が許容誤差範囲内に収まらなければ,残差力の再配分に困難が生じており,弾塑性計算が発散したと考えられる。このとき斜面の変形は非常に大きくなっており,斜面崩壊に至ったと判断される。斜面の全体安全率は,繰返し計算が収束しないときの係数 F の値とこの直前の F の値の間にあると考えられる。計算のフローチャートを図2に示す。
■図2 せん断強度低減有限要素法のフローチャート
有効応力で斜面の安定性を評価する場合には、しばしば浸透流解析もしくは連成解析により水圧を計算する。浸透流解析や連成解析においてSSR-FEMと同じメッシュ分割を用いると、浸透流解析や連成解析で得られた水圧を安定解析に直接持ち込むことができるため、水圧をより正確に考慮することができる。
さらに、すべり面では最大せん断ひずみの増分が大きくなるため、臨界すべり面は破壊直前の最大せん断ひずみ増分の分布から推定できる。従って、SSR-FEMでは、分割法などのようにあらかじめすべり面を仮定する必要がなく、計算結果として自動的に臨界すべり面が探索される。
SSR-FEMは、精度の高い安全率を算定できるため、細かいメッシュを用いる必要がある。また収束条件が,算定した安全率にある程度の影響を与えることがわかっている。節点力残差のノルムと節点外力のノルムとの比は、計算ステップ数や繰り返し回数等に影響されないため、収束条件として最もよく使われている。
SSR-FEMは斜面安定解析のみならず、泥水掘削溝壁の安定解析、掘削底面安定解析、トンネル切羽の安定解析にも用いられ、あらゆる安定解析に適用できる方法である。
これまで、分割法とSSR-FEMによる結果を比較して、斜面安定評価においてSSR-FEMの有効性は多くの文献に示されている。ここで、一例のみをあげて説明する。これは図3に示すように傾斜した地層構造をもつ斜面であり、層①と層③の間にせん断強度が小さい層Aがはさまれている。層①〜③の粘着力及び内部摩擦角はそれぞれ29.4 kN/m2、9.8 kN/m2、294kN/m2、及び12°、5°、40°であり、単位体積重量は共に18.82kN/m3である。多くの研究者はこの例を用いて様々な分割法および臨界すべり面探索法を検証してきた。SSR-FEMにより全体安全率を計算し、破壊直前の最大せん断ひずみ増分の分布から臨界すべり面位置を決定した。計算された全体安全率を表1に示す。図4に示すように、SSR-FEMによる臨界すべり面は、Grecoが探索した臨界すべり面とよく一致している。特に斜面天端付近にある臨界すべり面の一部は層①と層②の境界面に沿っていることをよく表現している。しかしながら、分割法を用いて安全率を計算し、最適化手法により探索した6つの臨界すべり面(これらのうち4つが図4に示されている)のうち、SSR-FEMによる臨界すべり面とほぼ一致したのは、2つ(これらのうち一つが図4に示されている)しかないことがわかる。したがって、解析の前に、すべり面の形状をあらかじめ仮定する必要がないSSR-FEMのような安定解析法は他の手法に比べてより優位にあると考えられる。

■図3 傾斜した地層構造を持つ斜面 |
|

■図4 傾斜した地層構造を持つ斜面の臨界すべり面 |
安全率計算法
|
臨界すべり面探索法 |
臨界すべり面探索法 |
参考文献 |
| 簡易ヤンブ法 |
共役勾配法 |
0.405, 0.430* |
Araiら[1] |
| 簡易ヤンブ法 |
RST-2 |
0.401, 0.423* |
Srideviら[2] |
| Spencer |
Pattern search |
0.38 |
Greco [3] |
| Spencer |
Monte Carlo |
0.38 |
| Spencer |
Monte Carlo |
0.401 |
Malkawiら[4] |
| Spencer |
Random search |
0.401 |
Rocscience Inc. [5] |
| 簡易ヤンブ法 |
Random search |
0.410, 0.434* |
| Spencer |
Random search |
0.44 |
Kimら[6] |
| Lower-bound |
- |
0.40 |
| Upper-bound |
- |
0.45 |
| SSRFEM (ψ = φ) |
- |
0.417 |
若井ら[7] |
| SSRFEM (ψ = 0) |
- |
0.423 |
(注)*:簡易ヤンブ法の安全率に修正係数を乗じたものである。
■表1 傾斜した地層構造を持つ斜面の全体安全率
[1] Arai, K., and Tagyo, K.: Determination of noncircular slip surface giving the minimum factor of safety in slope stability analysis, 土質工学会論文報告集, 25(1): 43-51, 1985.
[2] Sridevi, B., and Deep, K.: Application of global-optimization technique to slope-stability analysis, Proc. 6th Inter. Symp. on Landslides, pp.573-578, 1992.
[3] Greco, V. R.: Efficient Monte Carlo technique for locating critical slip surface, J. Geotech. Eng. Div., ASCE, 122(7): 517-525, 1996.
[4] Malkawi, A. I. H., Hassan, W. F., and Sarma, S. K.: Global search method for locating general slip surface using Monte Carlo techniques, J. Geotech. Geoenviron. Eng., 127(8):688-698, 2001.
[5] Rocksciemce Inc.: Verification manual for Slide, 2D limit equilibrium slope stability for soil and rock slopes, Version 4.0, Rockscience Inc., Canada, 2002.
[6] Kim, J., Salgado, R., and Lee, J.: Stability analysis of complex soil slopes using limit analysis, J. Geotech. Geoenviron. Eng., 128(7): 546-557, 2002.
[7] 若井明彦・蔡飛:地すべり解析における有限要素法の利用 第4回 FEMによる地すべり解析の基礎理論、日本地すべり学会誌、40(3): 76-80、2003.
次に、当社製品であるGeoFEAS2DのPost表示について少し紹介いたします。図5はGeoFEAS2Dによるせん断強度低減法の解析結果画面です。コンタ図の最大ひずみ増分で確認することができます。事例は、一般的な盛土形状について斜面安定解析を行った例です。すべり状態が確認できると同時に、画面左上の赤囲みの通り、安全率も求められます。
■図5 GeoFEAS2Dによる解析結果画面
今回は、「せん断強度低減法による安定解析」について解説しました。より理解を深めたい場合は、当社で開催している有償セミナーなどもご活用願いたいと思います。次回は「液状化に伴う自重による変形解析」について紹介致します。河川構造物の設計では必須の検討と考えられます。ご期待下さい。
フォーラムエイトパブリッシングの書籍シリーズ
『新版 地盤FEM 解析入門』のご案内
地盤FEM解析に関する豊富な経験と研究実績に裏付けられた地盤解析入門書。地盤FEM解析の基礎理論、モデリング技術を整理し、多様な解析実例について、FEM解析による問題解決のプロセスと結果をわかりやすく解説した地盤技術者必携の一冊です。
■監修:鵜飼 鶏三(全日本地すべり学会会長,群馬大学教授)
■著者:蔡 飛(群馬大学助教)
■2013年9月19日刊行
■4色/245ページ
■\3,800(税別)
■フォーラムエイト パブリッシング刊
※書籍のご購入は、フォーラムエイト公式サイトまたはAmazon.co.jpで!
|
 |
| ■『新版・地盤 FEM解析入門』目次構成 |
| 第1章 |
地盤工学におけるFEM 解析
地盤FEM解析の必要性・体系、解析種類、数値解析の誤差 |
| 第2章 |
地盤FEM 解析の基礎理論
力学の基礎、平面ひずみ問題と軸対称問題、有限要素法の基礎 |
| 第3章 |
地盤FEM 解析のためのモデリング技術
解析目的、手法、条件、トンネル掘削解析における応力解放率 |
| 第4章 |
地盤材料の構成則
応力不変量、線形弾性構成則、非線形弾性構成則 、弾完全塑性モデル、段塑性構成則 |
| 第5章 |
材料パラメータの決め方
等方線形弾性構成則、弾完全塑性モデル、破壊接近度法のパラメータの同定方法 |
| 第6章 |
地盤と構造物の相互作用
構造物のモデル化、インターフェイスのモデル化 |
| 第7章 |
非線形解析
増分法、Newton-Raphson法、繰返し計算における収束条件 |
| 第8章 |
せん断強度低減法による安定解析
せん断強度低減有限要素法の紹介と応用例 |
| 第9章 |
液状化に伴う自重による変形解析
解析手法、パラメータ、解析事例、柔構造樋門の設計との連動機能 |
| 第10章 |
解析事例
盛土の斜面安定、 擁壁杭基礎の盛土載荷問題、トンネル拡幅工事、推進工法による地盤への影響解析 |
| 第11章 |
GeoFEAS の操作方法
トンネル掘削に伴う近接杭基礎への影響解析、せん断強度低減法による斜面の安定解析 |
| 第12章 |
地中熱解析について
地中熱について、地中熱解析とは |
|