Civil Engineer's Forum-FORUM8
このページをスタートページに設定する QR

Facebook - FORUM8

Twitter - FORUM8

instagram - FORUM8

YouTube - FORUM8

 サイトマップ | ご利用条件 | お問い合わせ | 英語翻訳サイト | Japanese | English | Korean | CHS/CHT | Vietnam | Francais
Support Topics
 サポートトピックス・CAD / UC-1シリーズ

マンホールの設計・3D配筋のなぜ? 解決フォーラム

耐震計算における地盤反力係数について

保守・サポートサービス関連情報

「マンホールの設計・3D配筋 Ver.7」では、(公社)日本下水道協会「下水道施設の耐震対策指針と解説 2006年版/2014年版」に準拠したマンホールの耐震計算が可能ですが、このときの基準年度の違いによる地盤反力係数の考え方や注意点について紹介いたします。

地盤反力係数の算出式

マンホールの耐震計算では、鉛直方向のフレームモデルに対して地盤ばねを設定します。地盤ばねを設定するのに必要となる地盤反力係数は、下記の式で算出されます。

下水道施設の耐震対策指針と解説 2006年版

ここに、

khi :水平方向地盤反力係数 (kN/m3)

kh0 :直径0.3mの剛体円板による平板載荷試験の値に相当

する水平方向地盤反力係数 (kN/m3)

α :地盤反力係数の推定に用いる係数

E0 :変形係数 (kN/m2)

Bh :基礎の換算載荷幅 (m)

Ah :水平方向載荷面積 (m2)

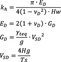
下水道施設の耐震対策指針と解説 2014年版

kh :水平方向地盤反力係数 (kN/m3)

ED :表層地盤の動的変形係数 (kN/m2)

νD :表層地盤の動的ポアソン比

Hw :マンホール底面下端からマンホール蓋上面までの高さ(m)

GD :表層地盤の動的せん断弾性係数(kN/m2)

γteq :表層地盤の単位体積重量 (kN/m3)

g :重力加速度 9.8(m/s)

VSD :表層地盤の動的せん断弾性波速度 (m/s)

Hg :表層地盤の厚さ (m)

Ts :表層地盤の固有周期 (s)

基準年度の違いによる地盤ばねの考え方の相違

2006年版の指針に準拠する場合、地盤反力係数は道路橋示方書等と同様に各層の地盤の変形係数E0より算出され、層ごとに異なる地盤反力係数が算出されます。

一方、2014年版の指針では、表層地盤の動的変形係数EDや表層地盤の動的ポアソン比ν等から地盤反力係数が算出されますが、2014年版では表層を一様な地盤として考えるため、地盤反力係数は層ごとには算出されず、表層として単一の地盤反力係数となります。

図1 地盤反力係数

本製品では、マンホールの一部が地表面より上に突出するケースには対応していませんが、2006年版の指針に準拠する場合、突出する部分の地盤の変形係数を0とすれば地盤反力係数も0となり、(適用については設計者の判断が必要となりますが)疑似的に突出したマンホールの計算も可能と考えられます。しかし、2014年版の指針に準拠する場合、前述の通り表層地盤を一様として扱うため、疑似的にも突出したマンホールの検討を行うことはできません。

また、鉛直方向の計算のモデル化の方法として、節点にばねを設定し、そのばねに地盤変位に相当する荷重を載荷する方法と、部材に分布ばねを設定し、そのばねに地盤変位に相当する分布荷重を載荷する方法があります。2006年版の指針に準拠した「下水道施設耐震設計例−管路施設編−2001年版(後編)」のマンホールの計算例は節点ばねのモデルとなっていますが、2014年版の指針に準拠した「下水道施設耐震設計例−管路施設編−2015年版(後編)」では分布ばねのモデルとなっています。

図2 鉛直方向フレームモデルの違い



前ページ
  
インデックス
  
次ページ
(Up&Coming '19 盛夏号掲載)
戻る
Up&Coming

FORUM8


お問合せ窓口




[ ユーザー紹介 ]
岐阜県恵那市
北方工業大学 都市道路交通知能制御技術北京市重点実験室 交通行動・安全研究室
安部 尚樹 氏
[ イベントレポート ]
Smart City Expo World Congress 2025
デザインフェスティバル2025レポート






>> 製品総合カタログ


>> プレミアム会員サービス
>> ファイナンシャルサポート

最近リリースした製品
DesignBuilder Ver.2025.1
防潮堤・護岸の設計計算 Ver.4
マンホールの設計・3D配筋 Ver.12
橋梁点検支援システム Ver.4
Shade3D SDK Ver.4
ファイル転送サービス Ver.3
下水道管の耐震計算 Ver.4
BOXカルバートの設計・3D配筋(下水道耐震) Ver.15
FEMLEEG® Ver.15
橋台の設計・3D 配筋(部分係数法・H29道示対応) Ver.9
柔構造樋門の設計・3D配筋 Ver.18

キャンペーン実施中
新製品特別価格キャンペーン
松任谷由実 THE WORMHOLE TOUR 2025-26ペアご招待キャンペーン
ドローンスクール割引キャンペーン
Shade3D・F8VPS 20%OFFキャンペーン

セミナー・イベントカレンダー
開催間近のセミナー
1/5  ジュニア・プログラミング
1/6  ジュニア・ソフトウェア
1/8  基礎の設計・3D配筋
  (部分係数法・H29道示
  対応)
1/14  LibreOffice体験

ソフトウェア/支援サービス
VRソフト(バーチャルリアリティ)
《UC-winシリーズ》
・道路・シミュレータ
・ドライブ・シミュレータ
・マイクロ・シミュレーション
・避難解析・シミュレーション
>>その他VRソフト
FEM解析ソフト
・3次元プレート動的非線形解析
・2次元動的非線形解析
・総合有限要素法解析システム
>>その他FEM解析ソフト
土木・建築・設計ソフト
《UC-1シリーズ》
・構造解析/断面
・橋梁上部工
・橋梁下部工
・基礎工
・仮設工
・道路土工
・港湾
・水工
・地盤解析
・CAD/CIM、建設会計
・維持管理・地震リスク
・建築
・船舶/避難
>>その他土木・建築・設計ソフト
クラウド
《スパコンクラウド®》
・スパコンクラウドサービス
《VR-Cloud®》
・リアルタイムVRシステム
解析支援サービス/サポート
・UC-win/Roadサポートシステム
・設計成果チェック支援サービス
・Engineer's Studio®解析支援
・地盤解析支援サービス
・EXODUS/SMARTFIRE解析支援
・xpswmm解析支援サービス
・建物エネルギーシミュレーション
・3Dレーザスキャン・モデリング
・3D模型サービス
・3D報告書・図面サービス
>>その他支援サービス
各種ソリューション
・耐震診断/解析
・鋼橋設計
・橋梁新工法
・建築設計
・自治体
・医療系VRシステム
・パーキングソリューション
・ECOソリューション
>>その他ソリューション