Civil Engineer's Forum-FORUM8
このページをスタートページに設定する QR

Facebook - FORUM8

Twitter - FORUM8

instagram - FORUM8

YouTube - FORUM8

 サイトマップ | ご利用条件 | お問い合わせ | 英語翻訳サイト | Japanese | English | Korean | CHS/CHT | Vietnam | Francais


新版・地盤
FEM解析入門
本講座は、地盤FEM解析の理論背景を理解すること、その上で、地盤FEM解析ソフトウェアを正しく使いこなすことを目的に、理論と事例を交えながら説明を行い、実務に応用できる実践的な講座を目指しています。今回は、「地盤工学におけるFEM解析」について解説します。
 はじめに

本12回に分けて予定している地盤FEM解析エンジニアリングのための入門講座の3回目です。

第2章を構成する「地盤FEM解析の基礎理論」ということで、地盤や構造物などの物体を離散化(メッシュでモデル化)し、外力と境界条件を設定することで弾性学に基づく基礎方程式、すなわち、力の釣り合い、ひずみと変位に関係式などを解説し、地盤の基礎理論について説明します。


 力学の基礎

物体に作用する力は2種類に分類できる。その1つは物体の表面に働く力であり、1つの物体が他の物体に接触して及ぼす力、水中にある物体の表面に働く水圧などが、これに相当する。この種の外力を表面力(surface traction)という。もう1つは、物体そのものに働く力であり、物体の体積に比例して働く力である。重力がその代表であり、この種の外力を体積力もしくは物体力(body force)という。
物体にこれらの外力(external force)が作用されたときの、物体に生じる変位、ひずみ、および応力の分布を解析的に求めるには、力または変位の境界条件を満たす弾性学の基礎方程式の解を求めなければならない。有限要素法でも、同様に弾性学の基礎方程式を用いる。

1)力のつり合い方程式(Equilibrium equations)

外力を受ける地盤内の応力状態は、直交座標系xyzで定義されている9つの応力成分(σx、σy、σz、τxy、τyx、τyz、τzy、τzx、τxz)によって表される。これらの応力成分の間の関係は、地盤内の1点の回りに微小直方体(図1)を考え、この微小直方体に作用するモーメントと力のつり合いを考えることによって求められる。

図01 応力成分(例として、一対の面上に働いている応力成分のみを示す)

まず、モーメントのつり合いを考えてみよう。体積力によるモーメントがない場合、2次以上の微小量を省略すると、直方体の中心を通るz、x、y軸に平行な直線をモーメントの軸としたモーメントのつい合いより、次の各関係式が得られる。

(1)

従って、独立する応力成分は6つであることがわかる。

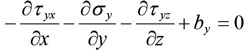
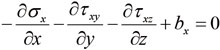
次に微小直方体に作用するすべての力のつり合いを考える。力のつり合いとは力のすべての和(合力)がゼロということである。まず、x方向の力のつり合いを考えてみよう。x軸の正方向を力の正方向とすれば、正負を考慮して力のつり合いは次のようになる。

(2)

ここに、bxはx方向の体積力である。式(2)の両辺をdxdydzで割れば、式(3a)が得られる。

(3a)

同様にして、yとz方向の力のつり合いより次の関係式が得られる。

(3b)

(3c)

式(3)が力のつり合いを示すつり合い方程式である。


2)ひずみと変位の関係式(Strain-displacement relationships)

地盤に荷重が与えられたとき、直交座標系では、地盤の変形は、x、y、z方向の変位 u=u(x y z)、v=v(x y z)、w=w(x y z) で表される。微小変形の場合には、ひずみと変位の関係は線形で、ひずみ成分は式(4)で与えられる。

(4)

ここに、εx、εy、εzは垂直ひずみ、γxy、γyz、γzxはせん断ひずみを表す。式(4)より、すべてのせん断ひずみに対して対称性が成立する。すなわち、

(5)

従って、ひずみの状態を記述するのに必要なのは、合計6個のひずみ成分であることがわかる。

図02 直方体要素の変形

ひずみと変位の関係式(4)と(5)を導き出すため、図2に示す地盤内のxy面内にある微小長方形要素ABCDを考えてみよう。地盤が変形すると、変形した要素はA’B’C’D’に移動する。すなわち、要素の長さの変化と角度の変化という2つの基本的な幾何学的変位をしているのである。長さABの変化は、圧縮を正とすれば、-(∂u/∂x)dxであり、垂直ひずみをもとの長さに対する長さの変化量の比として定義すれば、x方向の垂直ひずみεxは-∂u/∂xとなる。同様にして、yおよびz方向の垂直ひずみはそれぞれ-∂v/∂y、-∂w/∂zと表される。要素の角度の変化、すなわち角度θ1とθ2の和、として定義すれば、せん断ひずみγxyは、-∂u/∂y-∂v/∂xで与えられる。他の2つのせん断ひずみ成分はそれぞれ、yz面内とzx面内での角度変化から求められる。

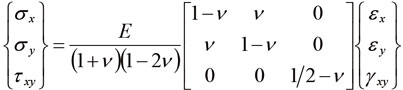
3)応力とひずみの関係式(構成則)

応力とひずみの関係式を数式で表すものを材料の構成則という。線形弾性材料の構成則はフックの法則と呼ばれる。これを次式に示す。

(6)

ここに、Eは弾性係数またはヤング係数、vはポアソン比である。これらの量は、それぞれの材料についての実験結果より求められる物性値である。式(6)の係数マトリックスを D マトリックスという。D マトリックスは対称マトリックスである。応力ベクトルσ={σx σy σz τxy τyz τzx}T、ひずみベクトルε={εx εy εz γxy γyz γzx}T とおけば、式(6)は次のように書ける。

(7)

4)仮想仕事の原理

力学における重要な原理の一つである仮想仕事の原理は、次のように述べられる。「一つの質点が、これに働くいくつかの力の作用のもとでつり合い状態にあるとき、この質点に任意の微小な仮想変位を与えても、質点に働いているすべての力がこの仮想変位によってなす仕事の総和はゼロである。」

いま、このことを式によって表してみよう。与えられた仮想変位のx、y、z方向の成分をδu、δv、δwとし、質点に働く力のx、y、z方向の成分の総和をΣPx、ΣPy、ΣPzとすれば、この仮想変位によってなす仕事はδuΣPx+δvΣPy+δwΣPzである。従って、仮想仕事の原理は次のように表される

(8)

任意の仮想変位δu、δv、δwに対して式(8)が成立することから、次式が成り立つ。

(9)

式(9)は質点に作用する力のつり合いを示している。すなわち、仮想仕事の原理、式(8)は、つり合い条件式(9)と等価である。

以上の質点に対する仮想仕事の原理は、外力(表面力と体積力)の作用のもとでつり合い状態にある弾性体についても成立す
る。

既に述べたように、外力の作用のもとで弾性変形をしている物体の各点(すなわち各点のまわりの微小直方体)はつり合い状態にあり、応力による内力の和と外力の和に等しい。これを示したものが式(3)である。このように「つり合い状態にある弾性体の各点に、任意の微小な仮想変位を与えたとき、この仮想変位によって、外力のなす仕事と内力のなす仕事は等しい」というのが、弾性体に対する仮想仕事の原理である。仮想仕事の原理は、仮想変位δu、δv、δwに対して、次のように表すことができる。

(10)

ここに、bは体積力、fは単位面積あたりの表面力であり、δεは仮想変位の各成分δu、δv、δwに対応するひずみ成分である。


 平面ひずみ問題と軸対称問題

1)平面ひずみ問題

帯状基礎において、一様な鉛直荷重を受ける場合を考えてみよう。このような場合には、ひずみのz方向の成分は無視してよい。これを平面ひずみ状態といい、εzyzzx=0、τyzzx=0であり、考えるべき変位の成分はu、v、ひずみの成分はεx、εy、γxy、応力の成分はσx、σy、τxyである。従来の弾性論による解析では、3次元物体を解析することは実用上不可能であるといってよい。また有限要素法でも、可能であるが一般的に解析にかかる時間は平面ひずみに比べて飛躍的に増大するから、平面問題として近似的に扱えるものは、可能な限り平面ひずみ問題として解析することが望ましい。

平面ひずみ問題に対して、弾性体の支配方程式、すなわち、つり合い方程式、ひずみと変位の関係式、応力とひずみの関係式、および仮想仕事の原理は、次のようになる。

まず、つり合い方程式は、τyzzx=0であるから、次のように与えられる。

(11)

また、σzは応力とひずみ関係式のところで述べる。

ひずみと変位の関係式は、z方向の変位wはゼロであるから、式(4)よりひずみは次のように与えられる。

(12)

また、応力とひずみの関係式は、次のようになる。

(13)

一般性をもたせるために、σzを含む応力とひずみの関係式を次のように書いておく。

(14)

これより、σzを求める式が得られる。
(15)

弾性問題においては、σz=ν(σxy)である。

2)軸対称問題

軸対称とは、図3に示すように、解析対象となる物体と外力または強制変位などの境界条件がz軸まわりに回転対称である状態を指す。物体が回転対称体であっても力の作用が回転対称でない問題は軸対称ではない。地盤解析では、地盤が水平成層であるとき、軸対称的な鉛直荷重を受ける杭や円板の支持力問題や円形立坑などの問題が軸対称問題として解析することができる。

図03 軸対称問題

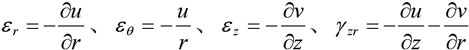
軸対称問題は、一般的に円柱座標系を用いる。軸対称問題においては、座標rとzは一定であるときの応力とひずみの値はθ座標によらない。また、τθz=0、γθz = 0である。

軸対称問題に対して、弾性体の支配方程式、すなわち、つり合い方程式、ひずみと変位の関係式、応力とひずみの関係式、および仮想仕事の原理は、次のようになる。

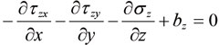
まず、つり合い方程式は、τθz=0であるから、次のようになる。

(16)

また、∂σθ/∂θ=0とτθz =0より、θ方向の釣合い方程式が自動的に満足されることが明らかである。

rおよびz方向の変位をそれぞれuおよびvとすれば、ひずみと変位の関係式は、次のようになる。

(17)

また、応力とひずみの関係式は、次のようになる。

(18)


 今後の講座

今回は、地盤FEM解析の基礎理論として、「力学の基礎」「平面ひずみ問題と軸対称問題」について解説しました。本来ならば、さらに「平面有限要素法の基礎」について言及する予定でしたが、紙面の関係で次回に行いたいと思います。ご期待下さい。


 出版書籍

フォーラムエイトパブリッシングの書籍シリーズ
『新版 地盤FEM 解析入門』のご案内


平成25年9月19日、FORUM8デザインフェスティバル2013-3Days 2日目に、「新版・地盤FEM解析入門」(定価\3,800(税別))を発刊、出版披露を行いました。本書制作にあたっては、群馬大学 蔡飛助教、鵜飼教授、そして、ブルジオテクノ 花田様に心より感謝申し上げます。
本書は、地盤FEM解析の基礎理論、モデリング技術を整理し、多様な解析実例について、FEM解析による問題解決のプロセスと結果をわかりやすく解説した地盤技術者必携の一冊となるものと考えております。

■監修:鵜飼 鶏三(全日本地すべり学会会長,群馬大学教授)
■著者:蔡 飛(群馬大学助教)

■2013年9月19日刊行
■4色/245ページ
■\3,800(税別)
■フォーラムエイト パブリッシング刊
※書籍のご購入は、フォーラムエイト公式サイトまたはAmazon.co.jpで!

 『新版・地盤 FEM解析入門』目次構成  
第1章 地盤工学におけるFEM 解析
地盤FEM解析の必要性・体系、解析種類、数値解析の誤差
第2章 地盤FEM 解析の基礎理論
力学の基礎、平面ひずみ問題と軸対称問題、有限要素法の基礎
第3章 地盤FEM 解析のためのモデリング技術
解析目的、手法、条件、トンネル掘削解析における応力解放率
第4章 地盤材料の構成則
応力不変量、線形弾性構成則、非線形弾性構成則 、弾完全塑性モデル、段塑性構成則
第5章 材料パラメータの決め方
等方線形弾性構成則、弾完全塑性モデル、破壊接近度法のパラメータの同定方法
第6章 地盤と構造物の相互作用
構造物のモデル化、インターフェイスのモデル化
第7章 非線形解析
増分法、Newton-Raphson法、繰返し計算における収束条件
第8章 せん断強度低減法による安定解析
せん断強度低減有限要素法の紹介と応用例
第9章 液状化に伴う自重による変形解析
解析手法、パラメータ、解析事例、柔構造樋門の設計との連動機能
第10章 解析事例
盛土の斜面安定、 擁壁杭基礎の盛土載荷問題、トンネル拡幅工事、推進工法による地盤への影響解析
第11章 GeoFEAS の操作方法
トンネル掘削に伴う近接杭基礎への影響解析、せん断強度低減法による斜面の安定解析
第12章 地中熱解析について
地中熱について、地中熱解析とは


前ページ インデックス 次ページ
(Up&Coming '13 晩秋の号掲載)
戻る
Up&Coming

FORUM8


お問合せ窓口




[ ユーザー紹介 ]
岐阜県恵那市
北方工業大学 都市道路交通知能制御技術北京市重点実験室 交通行動・安全研究室
安部 尚樹 氏
[ イベントレポート ]
Smart City Expo World Congress 2025
デザインフェスティバル2025レポート






>> 製品総合カタログ


>> プレミアム会員サービス
>> ファイナンシャルサポート

最近リリースした製品
DesignBuilder Ver.2025.1
防潮堤・護岸の設計計算 Ver.4
マンホールの設計・3D配筋 Ver.12
橋梁点検支援システム Ver.4
Shade3D SDK Ver.4
ファイル転送サービス Ver.3
下水道管の耐震計算 Ver.4
BOXカルバートの設計・3D配筋(下水道耐震) Ver.15
FEMLEEG® Ver.15
橋台の設計・3D 配筋(部分係数法・H29道示対応) Ver.9
柔構造樋門の設計・3D配筋 Ver.18

キャンペーン実施中
新製品特別価格キャンペーン
松任谷由実 THE WORMHOLE TOUR 2025-26ペアご招待キャンペーン
ドローンスクール割引キャンペーン
Shade3D・F8VPS 20%OFFキャンペーン

セミナー・イベントカレンダー
開催間近のセミナー
1/5  ジュニア・プログラミング
1/6  ジュニア・ソフトウェア
1/8  基礎の設計・3D配筋
  (部分係数法・H29道示
  対応)
1/14  LibreOffice体験

ソフトウェア/支援サービス
VRソフト(バーチャルリアリティ)
《UC-winシリーズ》
・道路・シミュレータ
・ドライブ・シミュレータ
・マイクロ・シミュレーション
・避難解析・シミュレーション
>>その他VRソフト
FEM解析ソフト
・3次元プレート動的非線形解析
・2次元動的非線形解析
・総合有限要素法解析システム
>>その他FEM解析ソフト
土木・建築・設計ソフト
《UC-1シリーズ》
・構造解析/断面
・橋梁上部工
・橋梁下部工
・基礎工
・仮設工
・道路土工
・港湾
・水工
・地盤解析
・CAD/CIM、建設会計
・維持管理・地震リスク
・建築
・船舶/避難
>>その他土木・建築・設計ソフト
クラウド
《スパコンクラウド®》
・スパコンクラウドサービス
《VR-Cloud®》
・リアルタイムVRシステム
解析支援サービス/サポート
・UC-win/Roadサポートシステム
・設計成果チェック支援サービス
・Engineer's Studio®解析支援
・地盤解析支援サービス
・EXODUS/SMARTFIRE解析支援
・xpswmm解析支援サービス
・建物エネルギーシミュレーション
・3Dレーザスキャン・モデリング
・3D模型サービス
・3D報告書・図面サービス
>>その他支援サービス
各種ソリューション
・耐震診断/解析
・鋼橋設計
・橋梁新工法
・建築設計
・自治体
・医療系VRシステム
・パーキングソリューション
・ECOソリューション
>>その他ソリューション