|  
 
 | 
    
      |  | 
    
      | ●製品概要
 
 本製品は、MultiSUITE Software社(英国)で開発された2D/3D鋼構造用CADです。AutoCAD上で稼動し、標準仕様では装備されていない、骨組み構造一括作画、形鋼や溶接記号の他、階段や梯子の作画など、鋼構造物に必要な作画機能が多数用意されています。MultiSTEELは、AutoCADベースでは最初に完全な3Dを利用したソフトウエアで、開発以来15年を経た現在、世界52国約2300社で利用され、この分野ではリーダー的な存在となっています。この度、弊社との共同により日本語版を開発し、日本での新たな鋼構造CADとして販売することになりました。
 ここでは、本製品の概要と機能・特徴についてご紹介いたします。
 
 
 
 ●プロジェクト概念と解析連携
 
 ひとつのユーザシステムであるAutoCADを、大きなプロジェクトでの作業に必要なマルチユーザ環境に対応するため、下記の流れでデータ作成を行えるようになりました。
 
 | 
    
      |  | 
    
      | 
 ●機能・特徴
 
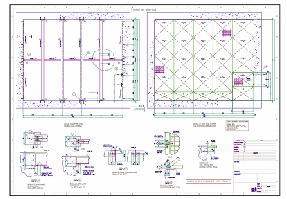
 1)2D/3D構造グリッドの一括作成機能。
 
 | 
    
      |  
 | 
    
      | 2)多彩な形鋼タイプ・接合部作画ライブラリを装備 ・形鋼
 各国で使用されている豊富な形鋼ライブラリが搭載されています。ライブラリの編集と追加も可能です。
 
 ・接合部、溶接記号
 MultiSTEELは、板添接板、直角添接板、エンドプレート添接板等をパラメトリックに作画する機能を有しています。細部は、ウィザードダイヤログ を使用した接合部ライブラリや一般構造図より検索しながら作成することが出来ます。この機能は、接合部作図の繰返し作業を大幅に縮小しま す。溶接記号も全種類、用意されています。
 
 | 
    
      |  ▲形鋼                             ▲接合部、溶接記号
 
 
 | 
    
      | ・数量一覧・鋼材重量 MultiSTEELでは、図面を作成しながら製作材料リストを生成することが出来ます。自動で部品番号が割り当てられ、作図計画との直接リンク機能が用意されています。
 ・設計変更時にも容易に対応できる編集機能
 「素早く」そして「簡単」な修正機能は、設計プロセスにおいては必要なものです。MultiSTEELは、これらに必要な全てのコマンドを提供します。
 
 ・高速・精密な2D/3D表示画面処理
 必要に応じて2Dあるいは3Dで作業を進めても、高速な処理で3Dデータから2D図面の自動生成あるいは2D図面から3Dモデルで表現することが可能です。
 | 
    
      |  ▲製作材料リスト(上)                           ▲2D/3D表示画面処理
 ▲製作材料リスト(下)
 
 
 | 
    
      | 
        
          
            | ●出 力 プロジェクトの最終成果品として、解り易く精密な2D図面が重要であることを、MultiSTEELの作業方法を通じて理解することができます。
 
 ●導入教育
 操作チュートリアルビデオが用意されており、初期導入時の教育をサポートします。
 
 ●AutoCAD対応バージョン
 本製品を使用するためには、下記のいずれかのAutoCADが必要です。
 AutoCAD2000、2002、2004、2005、2006、2007、2008、2009、Architectural Desktop
 
 ●新製品セミナー開催
 詳細は、「3次元鋼構造CAD MultiSTEEL for AutoCAD 新製品セミナー」をご参照下さい。
 |  ▲製作材料リスト(上)
 
 |  | 
    
      | ■3次元鋼構造CAD MultiSTEEL  リリース予定日:2006年10月末 ※「AutoCAD」は、オートデスク社の商標です。
 
 |